All Japan Student Women’s Championship
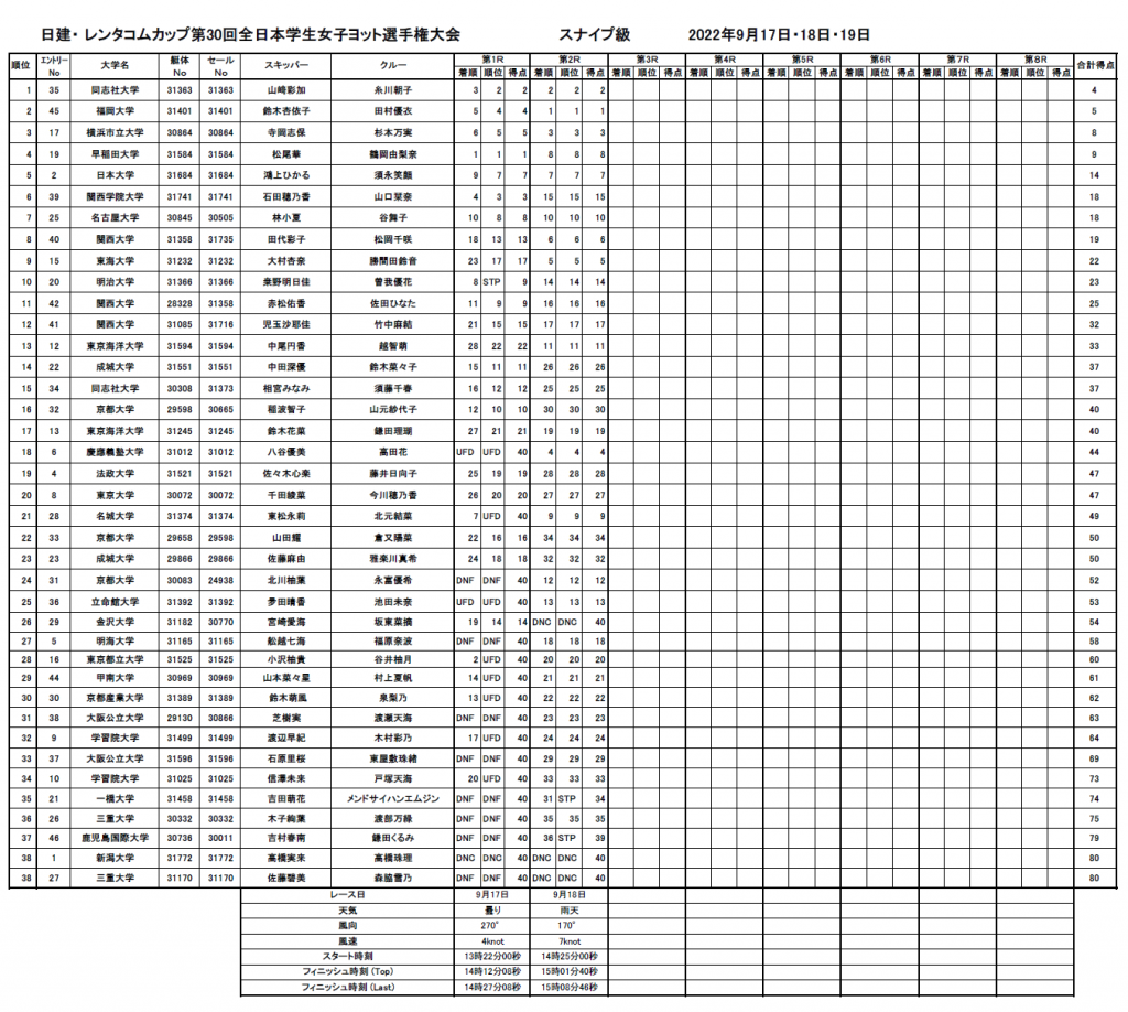
Hayama, Japan, September 18, 2022. Results of the “Nikken Rentacom Cup 30th All Japan Student Women’s Championship” held in Hayama. Only 2 races were completed due to the influence of the typhoon, with unstable winds. The third day, which was scheduled for the 19th, was canceled due to a typhoon. Ayaka Yamazaki & Asako Itokawa (Doshisha University) won the Snipe class.

Comments for this post are closed







































0 comments